网站支持IPV6
无障碍阅读
适老化模式
个人中心
搜索
首页
党政动态
美丽肃南
政府信息公开
办事服务
互动交流
专题专栏
智能小掖
甘快办
收藏
订阅
温馨提示:
收藏、订阅需先登录,系统检测到您未登录,请点击“确认”将为您跳转到登录页面。
确认
当前位置:
首页
>
政府信息公开
>
乡镇政府信息公开
>
明花乡
>
社会救助
>
社会救助
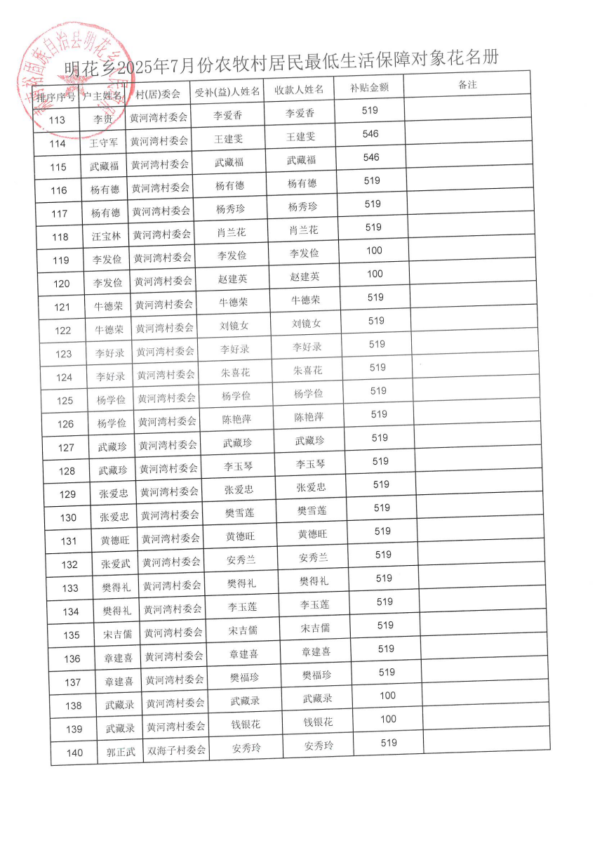
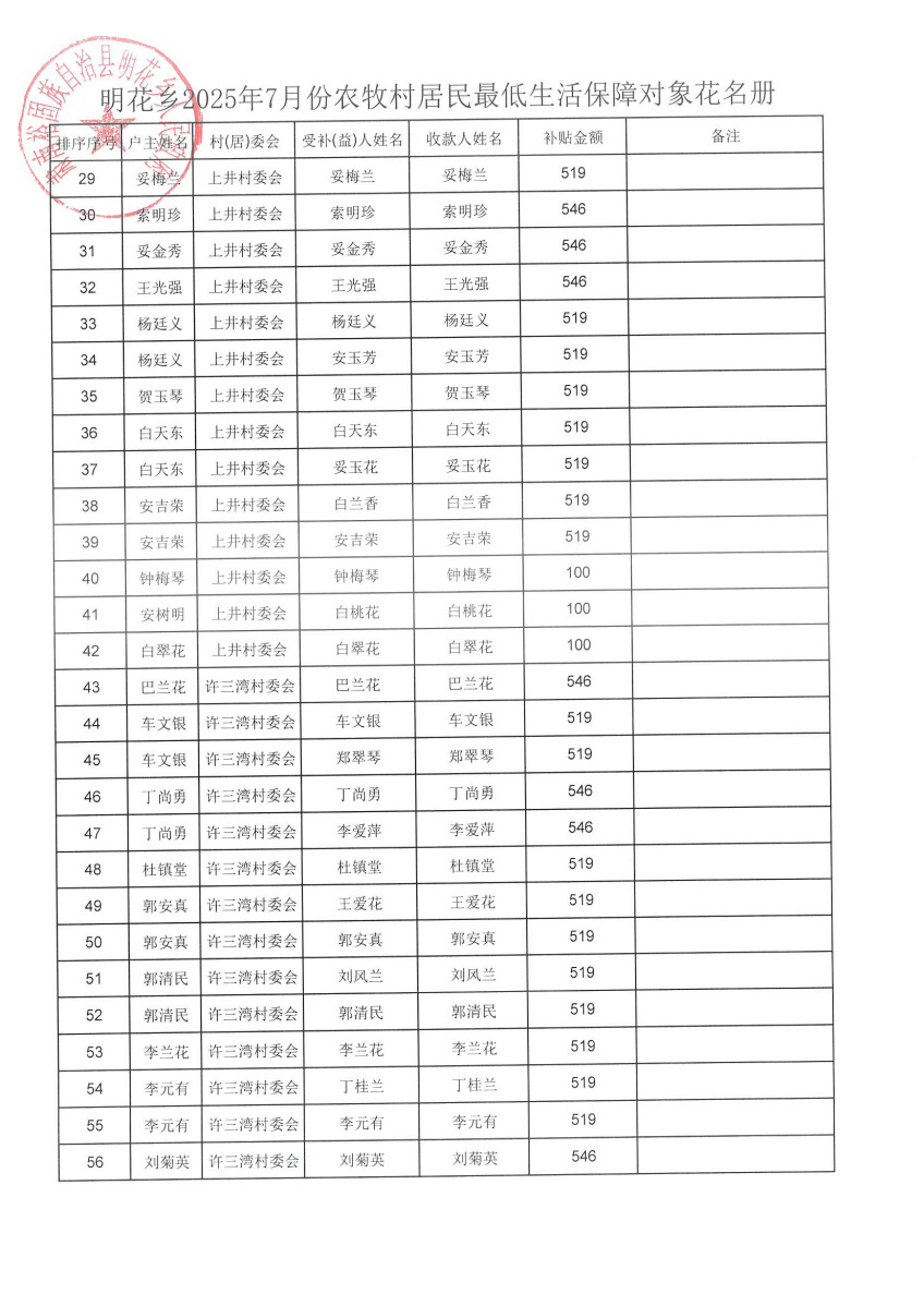
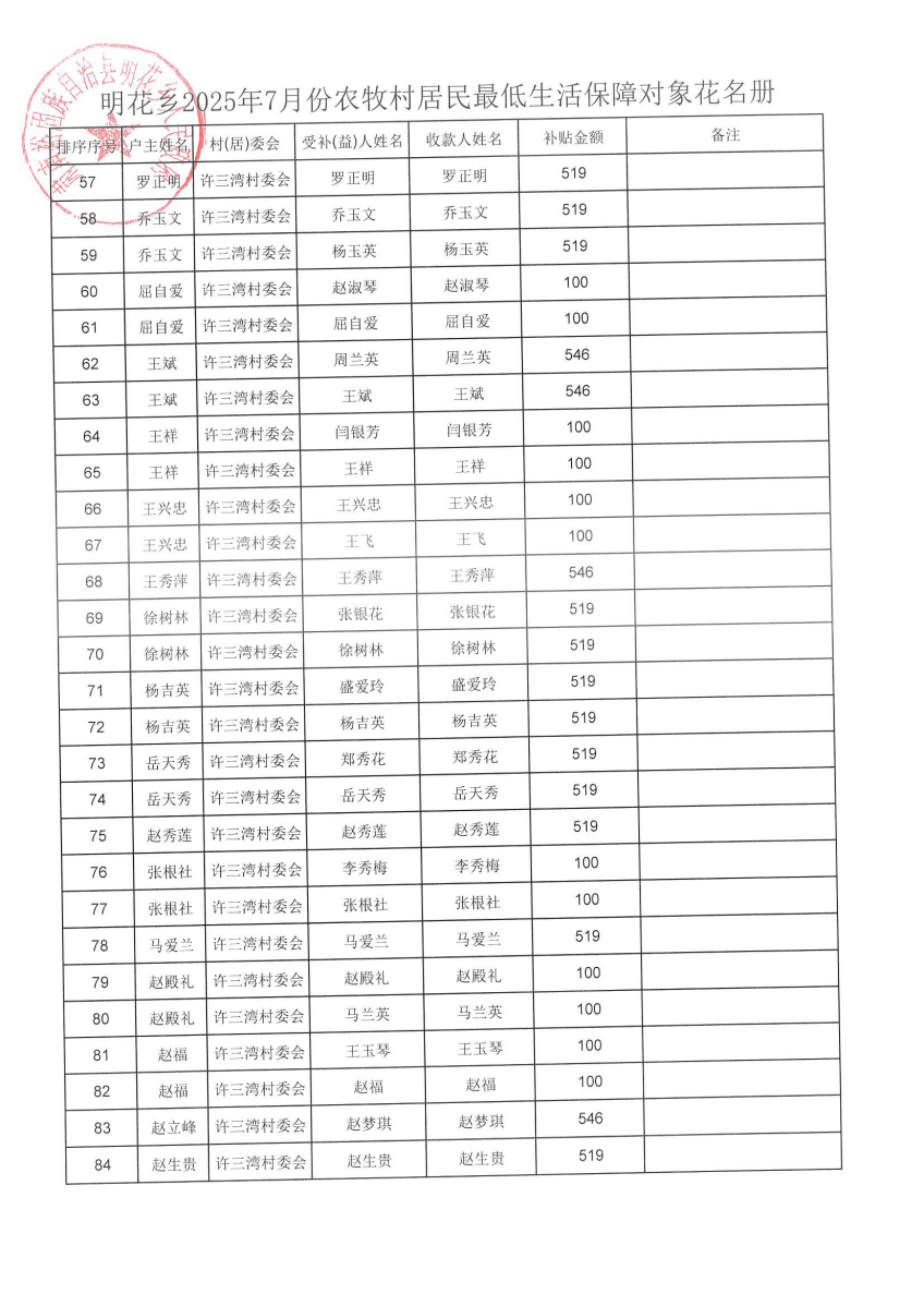
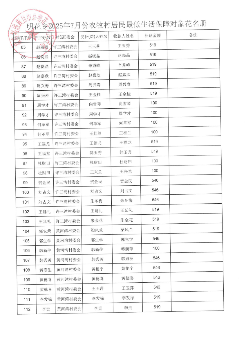
2025年7月农牧村居民最低生活保障资金发放名单
发布时间:
2025-07-28 15:30:00
背景色:
大
中
小
索引号
620721033/2025-00286
发文字号
关键词
发布机构
明花乡
公开形式
责任部门
生成日期
2025-07-28 15:30:00
是否有效
是
打印本页
关闭页面